Fichier:Résultats 4 5 de Cardwell et al 2017.png
Fichier d’origine (1 487 × 538 pixels, taille du fichier : 109 kio, type MIME : image/png)
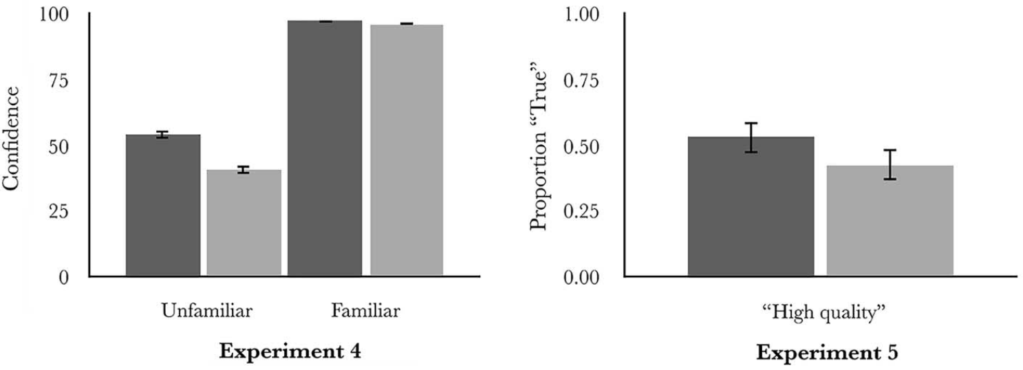
Résultats des expériences 4 et 5 de : Cardwell, B. A., Newman, E. J., Garry, M., Mantonakis, A., & Beckett, R. (2017). Photos that increase feelings of learning promote positive evaluations. Journal of Experimental Psychology: Learning, Memory, and Cognition, 43(6), 944.
Légende originale: Plots depicting the primary results of experiments 1–5. The plots for Experiments 1, 2, 3, and 5 show the proportion of “true” responses to the “high quality” and “low quality” claims when wine names appeared with or without photos (or boxes; Experiment 2), and whether wine names were made up of unfamiliar or familiar nouns (Experiment 3). The plot for Experiment 4 shows subjects’ mean confidence ratings for nouns that appeared with or without photos, separated according to whether those nouns were unfamiliar or familiar. Error bars show 95% within-subject confidence intervals for the photo/no-photo effect (see Masson & Loftus, 2003).
Historique du fichier
Cliquer sur une date et heure pour voir le fichier tel qu'il était à ce moment-là.
| Date et heure | Vignette | Dimensions | Utilisateur | Commentaire | |
|---|---|---|---|---|---|
| actuel | 9 juillet 2025 à 17:07 | 1 487 × 538 (109 kio) | Admin (discussion | contributions) |
Vous ne pouvez pas remplacer ce fichier.
Utilisation du fichier
La page suivante utilise ce fichier :